Pakta Integritas Bagi Penerima Bantuan Sosial

Bukti transferpenyerahan uang atas pemberian bantuan sosial berupa uang atau bukti serah terima barang atas pemberian bantuan sosial berupa barang. Hal ini bertujuan agar bantuan yang diberikan lebih tepat sasaran.

Https Kominfo Magetan Go Id Sites Default Files 2018 09 Perbup 20nomor 2007 20tahun 202015 20tentang 20tata 20cara 20penganggaran 2c 20pelaksanaan 20dan 20 20 28hibah 20bansos 29 Pdf

Kegiatan ini dipimpin oleh Irwasda Polda Banten Kombes Pol Drs.

Pakta integritas bagi penerima bantuan sosial. Bukti transfer uang atas pemberian hibah berupa uang atau bukti serah terima. 4000000- Empat Juta Rupiah. 3 Pertanggungjawaban belanja barang oleh Dinas yang diserahkan kepada penerima Belanja Bantuan Sosial dilaksanakan sesuai dengan ketentuan peraturan perundang -undangan.

Jakarta Bantuan sosial berupa paket sembako secara simbolis disalurkan dalam bagi masyarakat kurang mampu dan terdampak Covid-19 di wilayah Jabodetabek. Pedoman Pemberian Hibah dan Bantuan Sosial Yang Bersumber Dari Anggaran. Yosefina Matilda Neonbeni MHum didampingi oleh Kasubbag TU Fransiskus Xaverius Kehi SAg dan Plh.

JAKARTA 14 Juli 2020 - Untuk pengamanan Bantuan Sosial Bansos Kementerian Sosial bersama Kejaksaan Agung sepakat untuk bekerjasama mengawal keamanan bansos yang ditandai dengan penandatanganan pakta integritas. Salinan Berita Acara Serah Terima barang bagi Penerima Bantuan Sosial berupa barang. Kepala Seksi Bimas Kristen Freins Eba STh memfasilitasi ULP Pengadaan Barang Jasa pada Subbag Umum Kantor Wilayah Kementerian.

A Rencana Anggaran Biaya RAB b Pakta Integritas c Surat Pernyataan Pertanggungjawaban Penggunaan Dana Bantuan Sosial d Kwitansi Pencairan Dana e Foto Copy Rekening Bank Penerima Bantuan Sosial. Pakta integritas ditandatangani oleh ASN setiap awal tahun sebagai bentuk komitmen ASN dalam menjalankan tugas dan fungsinya sesuai dengan peraturan perundang-undangan ujar Rusiah. Cpakta integritas dari penerima bantuan sosial yang menyatakan bahwa bantuan sosial yang diterima akan digunakan sesuai dengan usulan.

Surat Pernyataan Belum Pernah Menerima Bantuan tahun sebelumnya dari Pemerintah Daerah. Salinan berita acara serah terima barang bagi. Bukti serah terima barang atas pemberian Belanja Bantuan Sosial berupa barang.

Pakta Integritas dari penerima Belanja Bantuan Sosial. Pakta integritas dari penerima hibah bermaterai 6000 yang menyatakan bahwa hibah yang diterima akan digunakan sesuai dengan NPHD. Pakta integritas dari penerima Belanja Bantuan Sosial.

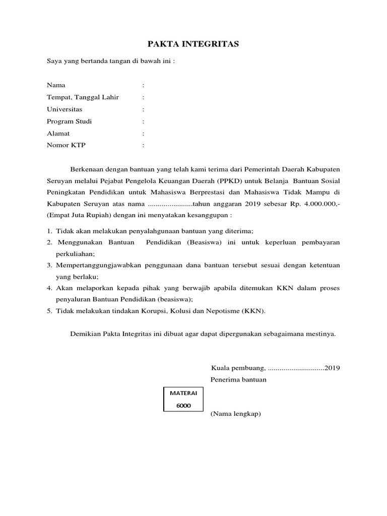
Yang telah kami terima dari Pemerintah Daerah Kabupaten Seruyan melalui Pejabat Pengelola Keuangan Daerah untuk Belanja Bantuan Sosial Peningkatan Pendidikan untuk Mahasiswa Berprestasi dan Mahasiswa Tidak Mampu di Kabupaten Seruyan atas nama tahun anggaran 2019 sebesar Rp. Barangjasa bagi penerima hibah berupa barangjasa. Sebagai bahan pertimbangan kami lampirkan hal-hal berikut.

Pakta integritas penerima bantuan sosial yang menyatakan bahwa bantuan sosial yang diterima akan digunakan sesuai dengan permohonan yang diajukan rangkap 2 dua 1 satu bermeterai Rp600000 enam ribu. Bukti serah terima barang atas pemberian Belanja Bantuan Sosial berupa barang. Berlangsung di Kantor Kejaksaan Agung RI kegiatan penandatanganan pakta integritas tersebut dihadiri oleh.

3 Bantuan sosial berupa barang sebagaimana dimaksud pada ayat 1 adalah barang yang diberikan secara langsung kepada penerima antara lain bantuan kendaraan operasional untuk sekolah luar biasa swasta dan masyarakat tidak mampu bantuan makananpakaian kepada yatim piatutuna sosial ternak bagi kelompok masyarakat kurang mampu. Dalam rangkaian kegiatan juga dilaksanakan penyerahan sertifikat hasil Bimtap kompetensi pekerja sosial. Undangan bagi penerima bantuan sosial berupa uang.

3Bantuan sosial berupa barang sebagaimana dimaksud pada ayat 1 adalah barang yang diberikan secara langsung kepada penerima seperti bantuan kendaraan operasional untuk sekolah luar biasa swasta dan masyarakat tidak mampu bantuan perahu untuk nelayan miskin bantuan makananpakaian kepada yatim piatutuna sosial ternak bagi kelompok. Pakta integritas dari penerima hibah yang menyatakan bahwa hibah yang diterima akan digunakan sesuai dengan NPHD. Pertanggungjawaban berupa keputusan kepala daerah tentang penetapan daftar penerima bantuan sosial dan pakta integritas dari penerima bantuan sosial atas bantuan sosial bagi individu danatau keluarga yang tidak dapat direncanakan sebelumnya.

SERANG Polda Banten melaksanakan Penandatanganan Pakta Integritas dan Pengambilan Sumpah Peserta dan orangtua Penerimaan Bintara Kompetensi Khusus Perawat dan Bidan dalam Penerimaan Anggota Polri TA 2020 di Ruang Vicon Polda Banten Rabu 842020. Pakta integritas dari penerima bantuan sosial yang menyatakan bahwa bantuan sosial yang diterima akan digunakan sesuai dengan usulan. Survey Kelayakan Penerima Bantuan Sosial.

Dan dbukti transferpenyerahan uang atas pemberian bantuan sosial berupa uang atau bukti serah terima barang atas pemberian bantuan sosial berupa barang. PANDEGLANG- Dalam rangka mewujudkan penguatan perlindungan sosial dan meningkatkan efektifitas penyaluran Bantuan Pangan Non Tunai BPNT Tahun 2021. Risma menyatakan akan memperbaiki.

F Kegunaan Bantuan Sosial. Pendistribusian yang mengikutsertakan PT Pos Indonesia operator ojek daring pihak Karang Taruna Pasar Tani dan pengemudi ojek pangkalan tersebut dilakukan di gerbang Istana Merdeka. Mulyadi Kaharni MSi dan dihadiri oleh Karo Sdm Polda Banten Kombes.

Dinas Sosial Tingkatkan Program Bansos 2021 Dinsos Pandeglang Tandatanggani pakta Integritas Bagi Pemasok Sembako - JURNAL CAKRAWALA. 3 Pertanggungjawaban b elanja barang oleh Dinas yang diserahkan kepada penerima Belanja Bantuan Sosial dilaksanakan sesuai dengan ketentuan peraturan perundang -undangan. Betun Inmas - Kepala Kantor Kementerian Agama Kabupten Malaka Dra.

Pasal 1 Angka 10 menyatakan bahwa ketentuan Pasal 39 ayat 2 mengalami perubahan. Dan d bukti transferpenyerahan uang atas pemberian bantuan sosial berupa uang atau bukti serah terima barang atas pemberian bantuan sosial berupa barang. C pakta integritas dari penerima bantuan sosial yang menyatakan bahwa bantuan sosial yang diterima akan digunakan sesuai dengan usulan.

Pengumuman Nama Calon Penerima Beasiswa Domisili Aceh Tamiang

Https Peraturan Bpk Go Id Home Download 117505 Perbup 20nomor 207 20tahun 202019 20 Hibah 20bansos Pdf

Http Tulungagung Go Id Wp Content Uploads 2017 07 Lampiran Aturan Pdf

Http Jdih Batangkab Go Id Upload Signed Peraturan Bupati 68 2020 Pdf

16 Contoh Surat Pakta Integritas Beasiswa Kumpulan Contoh Surat

3 Pakta Integritas Docx

Risma Akan Benahi Data Penerima Bantuan Sosial Nasional Koran Tempo Co

Https Lamongankab Go Id Bag Hukum Files 2017 08 31 Pedoman Pemberian Hibah Bantuan Sosial Pdf

Spj Bantuan Pendidikan 2019 Salin

Http Jatimprov Go Id Ppid Uploads Berkasppid Berita 20serah 20terima 20barang 20peralatan 20jahit Pdf

Https Jdihn Go Id File Download Qkrfmtaucgrm

7 Srt Perny Dari Penerima Hibah

Bersamamengawalnkri Instagram Promotion

Http Jdih Surakarta Go Id Download Php Dt Produk Hukum Id 5024

Http Jatimprov Go Id Ppid Uploads Berkasppid Pakta 20integritas 20bantuan 20sosial Pdf

Format Proposal Hibah Bansos 2014

Https Jdih Sangihekab Go Id Asset Peraturan Perbup No 40 Thn 2016 Pdf

Https Desajatilor Grobogan Go Id Produk Hukum Peraturan Kades Tahun 2014 Download 44 Perkades Jatilor 3 2014 Ttg Hibah Bansos

Http Jdih Kukarkab Go Id Storage Peraturan 2019 01 07 Pedoman Pemberian Hibah Dan Bantuan Sosial Pemerintah Kabupaten Kukar1 Pdf


Belum ada Komentar untuk "Pakta Integritas Bagi Penerima Bantuan Sosial"

Posting Komentar

Iklan Atas Artikel

Iklan Tengah Artikel 1

Iklan Tengah Artikel 2

Iklan Bawah Artikel